Run calibration
What is calibration?
Calibration is an iterative process of altering a selection of model hyperparameters in a methodical manner to find sets of parameterizations that well-represent provided observational reference data. It is as much an art as a science, so this tutorial will focus on the nuts-and-bolts of calibration. Calibrating well is beyond this guide.
Start a calibration
The following command will start a calibration of a frame named baseline created in a prior tutorial:
While we are waiting for it to complete, we will review some details related to what is actually happening.
Configure a calibration
The calibrate command is the command for model calibration in emodpy-workflow. There are a few basic controls for
the calibrate command that can be used to adjust how long and how deeply it looks for good model parameterizations.
We will briefly review the ones we just used. Further controls are documented by calibrate itself:
calibrate command controls:
-i NUMBER : how many sequential iterations the process will perform, for example,
-n NUMBER : how many different parameterizations (simulations) to try per iteration, for example,
-N NAME : the name of the calibration to perform, various uses, for example,
Very generally, more iterations and more parameterizations per iteration yield better results but increase computation time/cost.
optim_tool algorithm command controls:
optim_tool is the algorithm we selected for scoring parameterizations.
-v FRACTION (0.0-1.0) : the fraction of hyperparameter space to explore in an iteration. Lower means the algorithm takes small steps from its current best parameterization, higher means to take larger steps, for example,
Ingest forms (reference data and analysis controls)
The goal of calibration is to find model configurations that can reasonably match reference data. This requires:
- reference data
- model output generation
- a scoring system for model output (good or bad, better or worse)
Running calibrate generates the model output needed. Reference data and scoring systems are defined in an ingest form, which is a multi-sheet Excel spreadsheet with some embedded helper macros.
Additional resources:
Calibration output
The above calibration command will put information related to calibration status and simulation scoring into the
directory: calibration/BaselineCalibration (calibration name). The highest-numbered directory of iteration information (like iter1 in
our example) contains pdf plots of information relevant to the progress of calibration and can provide information
to aid in determining if the current set of hyperparameters being modified are sufficient.
Resample a calibration process (selecting parameterizations)
Resampling a calibration is the process of selecting parameterizations from a calibration process. There is more than one algorithm for doing so. The selected parameterizations are a calibration (good, bad, in progress, etc.).
emodpy-workflow has a built-in command named resample for this process. The following command will select the four simulations from the above calibration command output that best match the reference data in the ingest form, writing them to a CSV file:
Important
A resampled csv file is a calibration (good, bad, in progress, etc.)
Plot the calibration
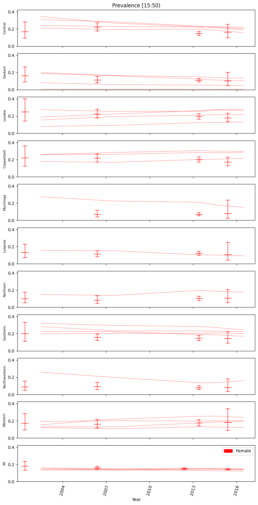
Now what we have a calibration (a resampled CSV file), we can plot it with reference data to visually assess its performance. The built-in emodpy-workflow command for this is plot_sims_with_reference . Continuing the example, the following will plot female HIV prevalance in the four resampled simulations with overlain reference data:
The resultant plots are written by default to directory plot_sims_with_reference_output. Take a look, for example,

What is next? Using a calibration!
Good calibrations are the starting point for modeling real-world scientific questions. In emodpy-workflow, calibrations
are used as input to the run command, which can combine calibrated parameterizations with "what if" scenario/sweep
parameterizations. This is often simply called "running scenarios" or "performing a sweep".
Additional resources: